Remove Duplicates from Sorted List
Leetcode problem 83; Difficulty: Easy
Problem Statement
Given head, the head of a sorted linked list, delete all duplicates such that each element appears only once. Return the linked list sorted as well.
Constraints:
- The number of nodes in the list is in the range
[0, 300]. -100 <= Node.val <= 100- The list is guaranteed to be sorted in ascending order.
Example 1:

Input: head = [1,1,2]
Output: [1,2]
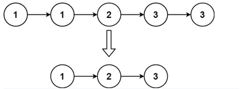
Example 2:

Input: head = [1,1,2,3,3]
Output: [1,2,3]
Submitted Solution
The implemented solution received the following rating on Leetcode:
