Invert Binary Tree
Leetcode problem 226 Difficulty: Easy
Problem Statement
Given the root of a binary tree, invert the tree, and return its root.
Constraints:
- The number of nodes in the tree is in the range
[0, 100] -100 <= Node.val <= 100
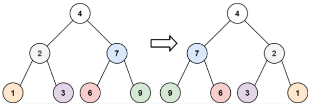
Example 1:

Input: root = [4,2,7,1,3,6,9]
Output: [4,7,2,9,6,3,1]
Example 2:

Input: root = [2,1,3]
Output: [2,3,1]
Example 3:
Input: root = []
Output: []
Submitted Solution
The implemented solution received the following rating on Leetcode:
