Flatten Binary Tree to Linked List
Leetcode problem 114; Difficulty: Medium
Problem Statement
Given the root of a binary tree, flatten the tree into a “linked list”:
- The “linked list” should use the same
TreeNodeclass where the right child pointer points to the next node in the list and the left child pointer is alwaysnull. - The “linked list” should be in the same order as a pre-order traversal of the binary tree.
Constraints:
- The number of nodes in the tree is in the range
[1, 2000]. -100 <= Node.val <= 100
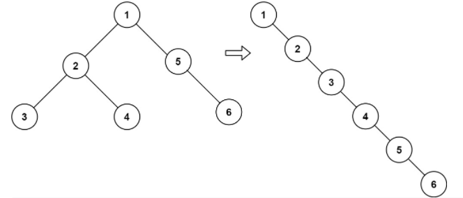
Example 1:

Input: root = [1,2,5,3,4,null,6]
Output: [1,null,2,null,3,null,4,null,5,null,6]
Explanation:
There are two left leaves in the binary tree, with values 9 and 15 respectively.
Example 2:
Input: root = []
Output: []
Example 3:
Input: root = [0]
Output: [0]
Follow up
Can you flatten the tree in-place (with O(1) extra space)?
(To be implemented)
Submitted Solution
The implemented solution received the following rating on Leetcode:
